怎么把 cal 字体变成 LaTeX 里 mathcal 默认的那种?
Typst 中数学字体默认是 New Computer Modern Math,与 LaTeX 中默认[1]的 Computer Modern Math 略有不同。
若想使用 LaTeX 默认的\mathcal花体,需要更换字体。
- 从 matplotlib 的
mpl-data/fonts/ttf/文件夹下载cmsy10.ttf - 设置
font: "cmsy10"
typst
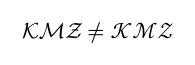
$ cal(K M Z) $
#let cal(s) = text(s, font: "cmsy10")
$ cal(K M Z) $为何出现 matplotlib?
Computer Modern Math 早于 OpenType 技术标准,通常以 Type 1 字体形式存在,如cmsy10.pfm。
今天很多软件都不支持*.pfm。matplotlib 开发者将它转换成了cmsy10.ttf,可供 Typst 等软件使用。
另外,LaTeX 中有 calligraphic 和 script 两种花体,后者请参考如何实现\mathscr的花体符号。
此处指不使用 unicode-math 时的默认数学字体;若使用 unicode-math,默认字体是 New Computer Modern Math,Typst 效果与之相同。 ↩︎





